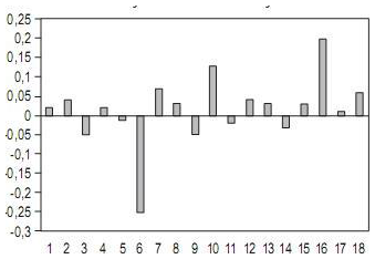
Um analista deseja modelar a evolução de um índice de qualidade de vida e, para isso dispõe de uma série temporal formada por 81 observações mensais. Inicialmente ele tenta ajustar o modelo na forma Xt = ΦXt-1 + εt-1, em que |Φ| < 1 e |θ| < 1 são os coeficientes do modelo; Xt é o valor do indicador no mês representa o ruído branco no mês t;εt com média zero e variância σ2. Abaixo, encontram-se os valores e o gráfico da função de autocorrelação dos resíduos gerados pelo modelo ajustado.


A partir desses dados , conclui-se que os resíduos do modelo


A partir desses dados , conclui-se que os resíduos do modelo
Provas
Questão presente nas seguintes provas
Analista da EPE - Gás e Bioenergia
50 Questões
Analista da EPE - Petróleo/Abastecimento
50 Questões