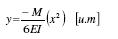
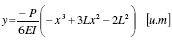
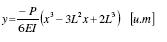
Uma barra de comprimento L tem uma de suas extremidades fixada rigidamente, enquanto a outra é submetida a um carregamento transversal, como mostra a figura: 
Uma barra de comprimento L tem uma de suas extremidades fixada rigidamente, enquanto a outra é submetida a um carregamento transversal, como mostra a figura: 