Magna Concursos
190858 Ano: 2014
Disciplina: Matemática
Banca: FGV
Orgão: DPE-RJ
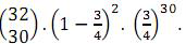
Uma amostra com 32 solicitações de assistências jurídicas, a partir dos pedidos recebidos pela Defensoria Pública, foi realizada, observando os tempos de apreciação T1, T2 , T3 ,... , T32 . Se as distribuições dos tempos de apreciação são contínuas uniformes, no intervalo de 48 a 72 horas, a probabilidade de que apenas duas solicitações, as mais rapidamente apreciadas, levem menos do que 54 horas é igual a
 

Provas

Questão presente nas seguintes provas

Técnico de Nível Superior - Estatística

80 Questões