Magna Concursos
1669982 Ano: 2008
Disciplina: Física
Banca: FADESP
Orgão: SEDUC-PA
Provas:

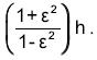
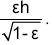
Uma bola, largada de uma altura h acima de um piso, com o qual o coeficiente de restituição é ε, colide sucessivas vezes com esse piso. Admitindo-se a homogeneidade da bola e do piso, de modo que as restituições sejam verticais, a distância total que a bola percorrerá até parar sobre o piso será

 

Provas

Questão presente nas seguintes provas

Professor - Física

50 Questões