Magna Concursos
952186 Ano: 2015
Disciplina: TI - Desenvolvimento de Sistemas
Banca: UFPel
Orgão: UFPel
Provas:

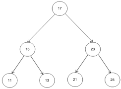
Na árvore binária de busca abaixo, há uma sequência de inserções.

enunciado 952186-1

Qual das seguintes opções contém a ordem correta ?

Questão Anulada

Provas

Questão presente nas seguintes provas

Analista de TI

40 Questões