Magna Concursos
Questões
Planos
Entrar
Entrar
Criar Conta
Respondida
650510
Ano:
2014
Disciplina:
Engenharia Eletrônica
Banca:
CESGRANRIO
Orgão:
Petrobrás
Provas:
Engenheiro de Equipamentos - Eletrônica
Provas
×
Análise de Sistemas Lineares
Sistemas de Controle
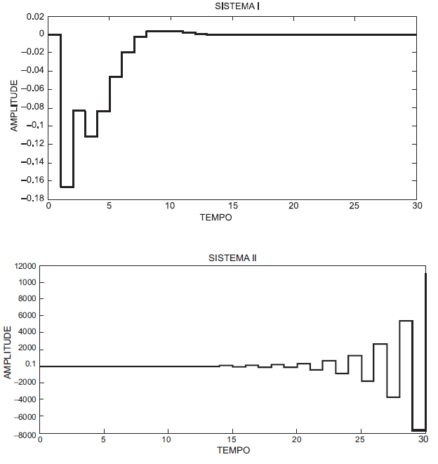
As Figuras abaixo mostram dois sistemas (I e II), apresentados como resposta ao impulso.
Após a análise dessas Figuras, constata-se que
A
o sistema I é estável, e o sistema II, instável.
B
o sistema I é instável, e o sistema II, estável.
C
ambos os sistemas são discretizados e quantizados.
D
ambos os sistemas são estáveis.
E
ambos os sistemas são contínuos no tempo
Resolver
Comentários
0
×
Cadernos
×
Flashcards
×
Estatísticas
×
Reportar um erro
×
Provas
Questão presente nas seguintes provas
Engenheiro de Equipamentos - Eletrônica
70 Questões
Resolver Prova
Publicar
Responder
Qual o problema da questão?
Selecione uma opção
Questão Desatualizada
Questão Repetida
Gabarito Errado
Outros Motivos
Mensagem
Enviar
Acessar
Criar Conta
Acesse sua Conta
Google
Facebook
Esqueci minha senha
Acessar
Ainda não tem conta?
Crie uma
!
Crie uma Conta
Criar Conta
Olá, para continuar, precisamos criar uma conta!
É
rápido
e
grátis
.
Google
Facebook
Concordo com os
Termos de Uso
Criar
Já tem uma conta?
Acesse aqui