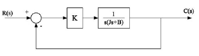
Observe o sistema representado pelo diagrama de blocos mostrado na figura abaixo.

Considere K=288, B=28,8 e J=2. O erro estacionário a uma solicitação em rampa unitária (ess) é igual a:
Provas
Questão presente nas seguintes provas
Observe o sistema representado pelo diagrama de blocos mostrado na figura abaixo.

Considere K=288, B=28,8 e J=2. O erro estacionário a uma solicitação em rampa unitária (ess) é igual a: