- Química OrgânicaCadeias Carbônicas
- Química OrgânicaFunções Oxigenadas: Álcool, Fenol e Enol
- Química OrgânicaFunções Oxigenadas: Cetona, Aldeído, Éter, Éster, Ácido Carboxílico etc.
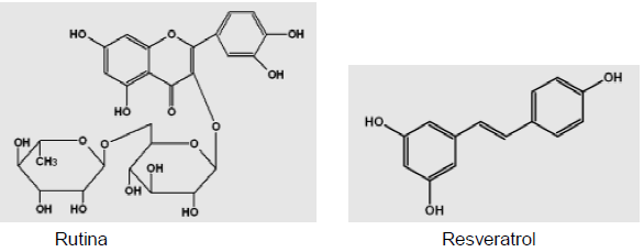
Analise as estruturas dos antioxidantes Rutina e Resveratrol abaixo.

Acerca dessas duas moléculas, é CORRETO afirmar que