Magna Concursos
1544146 Ano: 2006
Disciplina: Matemática
Banca: FAPESE
Orgão: Pref. Neópolis-SE
Provas:

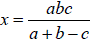
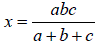
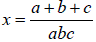
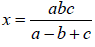
Sejam a , b e c números reais positivos. Resolvendo a equação enunciado 1544146-1 em relação a x, encontramos o valor:

 

Provas

Questão presente nas seguintes provas

Assistente Administrativo

35 Questões