Magna Concursos
766379 Ano: 2015
Disciplina: Engenharia Eletrônica
Banca: IF-SUL
Orgão: IF-SUL
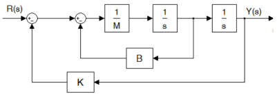
O diagrama de blocos ao lado representa o modelo de um sistema mecânico.
Enunciado 766379-1
A função de transferência desse sistema é
 

Provas

Questão presente nas seguintes provas