Magna Concursos
1889710 Ano: 2014
Disciplina: Matemática
Banca: FUNDEP
Orgão: IFN-MG
Provas:
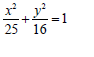
Um ponto P, que pertence a uma elipse, está a uma distância 4 do foco F1 (-3, 0) e uma distância 6 do foco F2 (3, 0). Dessa forma, a equação que representa a elipse que contém P, F1 e F2 é:
 

Provas

Questão presente nas seguintes provas