Magna Concursos
1701418 Ano: 2010
Disciplina: Matemática
Banca: FCC
Orgão: SEDUC-SP
Provas:

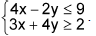
Assinale, entre os pontos abaixo, aquele que satisfaz ao seguinte sistema de inequações: enunciado 1701418-1

 

Provas

Questão presente nas seguintes provas

Professor - Matemática

80 Questões