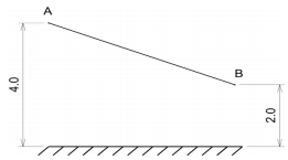
A água escoa do ponto A para o ponto B da tubulação com seção transversal variável apresentada na figura a seguir.

Dimensões em metros.
Sabe-se que a área da seção transversal da tubulação no ponto A é de 150 cm2 e a pressão, nesse mesmo ponto, é de 0,5 kgf/cm2 . Além disso, no ponto B, a área da seção transversal é de 50 cm2 e a pressão é de 1,7 kgf/cm2 .
Desse modo, a vazão no ponto B vale