3578543
Ano: 2023
Disciplina: Engenharia Elétrica
Banca: SELECON
Orgão: Pref. Primavera Leste-MT
Disciplina: Engenharia Elétrica
Banca: SELECON
Orgão: Pref. Primavera Leste-MT
Provas:
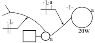
No trecho de projeto de instalação elétrica mostrado na figura 2, o interruptor “a” aciona uma lâmpada “a”.
Figura 2

No eletroduto que liga o interruptor à lâmpada, o condutor de retorno equivale ao condutor: