Na revista da Associação Brasileira das Empresas de Transporte Rodoviário Intermunicipal, Interestadual e Internacional de Passageiros (ABRATI), de março de 2002, foi publicada a tabela abaixo, que traz o número de mortes ocorridas na Rodovia Presidente Dutra, que liga a cidade do Rio de Janeiro à capital paulista, entre os anos de 1997 e 2000.

De acordo com um conhecido método da Matemática, denominado Método dos Quadrados Mínimos (MQM), esses valores podem ser ajustados (modelados) por uma função linear da forma f(t) = at + b. O ajuste da função, com os dados fornecidos na tabela, está esboçado no gráfico a seguir.

Para se conhecer os números reais a e b que definirão a função linear f(t) será necessário resolver o seguinte sistema de equações lineares, segundo o MQM:

Com base nessas informações, julgue os itens que se seguem.
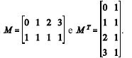
A matriz dos coeficientes do sistema (I) é obtida pelo produto
, das matrizes
.