Magna Concursos
920052 Ano: 2014
Disciplina: Economia
Banca: IDECAN
Orgão: AGU
Provas:
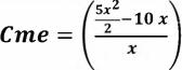
Um empresário monopolista contratou seus serviços profissionais de economista para lhe auxiliar no cálculo de maximização de seus lucros. Após levantamentos junto à empresa, foi constatado que o preço da mercadoria analisada é de R$ 40,00 e seu custo médio (Cme) é estimado em
Enunciado 920052-1. De Posse das informações fornecidas, assinale a alternativa que enxota o valor, em reais, do custo total da empresa quando ocorre seu lucro máximo.
 

Provas

Questão presente nas seguintes provas

Economista

80 Questões