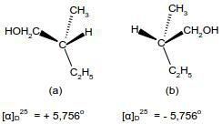
Um químico recebeu uma amostra suspeita de conter uma mistura isomérica do 2-metil 1-butanol. Após a separação dos isômeros, foi possível determinar as rotações específicas de cada isômero, conforme mostrado nas estruturas (a) e (b) a seguir.

Com base nessas informações, assinale a alternativa correta.

Com base nessas informações, assinale a alternativa correta.