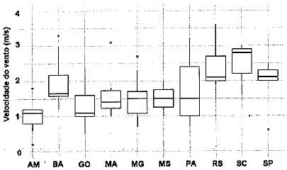
Em um determinado estudo climatológico da velocidade do vento, foram selecionados alguns estados de modo a avaliar os padrões de comportamento da variável. A figura a seguir mostra a representação clássica de gráficos de caixas para cada um dos 10 estados selecionados, com dados provenientes das médias mensais climatológicas, tomadas no período de 1991 a 2020, das estações do Instituto Nacional de Meteorologia (INMET).

Com base nas, informações apresentadas, assinale a opção INCORRETA.
Provas
Questão presente nas seguintes provas