Magna Concursos
1037695 Ano: 2012
Disciplina: Engenharia Eletrônica
Banca: CESGRANRIO
Orgão: Transpetro

Enunciado 3561262-1

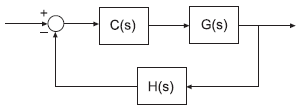
A função de transferência do ramo direto do sistema na figura acima é

 

Provas

Questão presente nas seguintes provas

Técnico de Manutenção - Automação

60 Questões