Magna Concursos
1725930 Ano: 2004
Disciplina: Matemática
Banca: FCC
Orgão: SESI-DF
Provas:

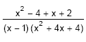
Simplificando a fração enunciado 1725930-1 , na qual x ≠ 1 e x ≠ −2 obtém-se

 

Provas

Questão presente nas seguintes provas