
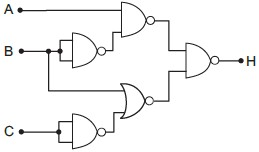
A figura ilustra um circuito combinacional digital, onde A, B e C são os sinais de entrada e H, o sinal de saída. A expressão booleana correspondente do sinal H em função de A, B e C é

A figura ilustra um circuito combinacional digital, onde A, B e C são os sinais de entrada e H, o sinal de saída. A expressão booleana correspondente do sinal H em função de A, B e C é