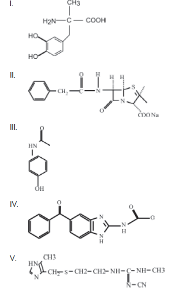
A química farmacêutica é a ciência cujas raízes se encontram em todos os ramos da química e da biologia. Preocupa- -se essencialmente com a compreensão e explicação dos mecanismos de ação dos fármacos. Nesta base, tenta estabelecer as relações entre a estrutura química e a atividade biológica dos fármacos. Abaixo, estão representadas as estruturas químicas de 5 (cinco) substâncias químicas com reconhecida atividade farmacológica. Sobre essas estruturas, responda à questão 26.

Relacione a estrutura química com a respectiva classe do medicamento:
( ) Analgésico
( ) Antibiótico
( ) Anti-helmíntico
( ) Anti-hipertensivo
( ) Anti-histamínico
Assinale a alternativa que apresenta a ordem correta, de cima para baixo: