Magna Concursos
1407944 Ano: 2010
Disciplina: Engenharia Eletrônica
Banca: UFRGS
Orgão: UFRGS
Provas:
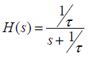
A Função de Transferência Enunciado 1407944-1 corresponde a um sistema de _____________ ordem, estável no caso em que ___________.
Assinale a alternativa que completa correta e respectivamente, as lacunas do trecho acima.
 

Provas

Questão presente nas seguintes provas

Técnico de Eletrotécnica

40 Questões