Magna Concursos
3275542 Ano: 2024
Disciplina: Matemática
Banca: FACET Concursos
Orgão: Pref. Mamanguape-PB
Provas:

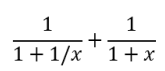
Qual o valor da soma abaixo?

Enunciado 3611500-1

 

Provas

Questão presente nas seguintes provas

Fiscal de Obras

30 Questões