Texto e figura para as questões 1 e 2

A figura acima esquematiza o experimento de Foucault
para a medida da velocidade da luz. O experimento é constituído de
um espelho rotatório que gira com velocidade angular ? igual a
6 × 103 rad/s, no qual incide um feixe de luz proveniente de A, que
é desviado para um espelho esférico E localizado a uma distância
L igual a 5 m. O feixe refletido pelo espelho E incide sobre o
espelho rotatório em outra posição e é refletido novamente
atingindo o ponto B, a uma distância s (considerando uma reta) do
ponto A.
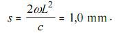
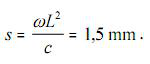
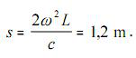
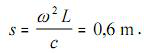
No experimento esquematizado, e assumindo c = 3 × 108 m/s (velocidade da luz), o deslocamento s percorrido pelo feixe luminoso satisfaz à condição
A figura acima esquematiza o experimento de Foucault
para a medida da velocidade da luz. O experimento é constituído de
um espelho rotatório que gira com velocidade angular ? igual a
6 × 103 rad/s, no qual incide um feixe de luz proveniente de A, que
é desviado para um espelho esférico E localizado a uma distância
L igual a 5 m. O feixe refletido pelo espelho E incide sobre o
espelho rotatório em outra posição e é refletido novamente
atingindo o ponto B, a uma distância s (considerando uma reta) do
ponto A.
Provas
Questão presente nas seguintes provas