Magna Concursos
107436 Ano: 2009
Disciplina: TI - Desenvolvimento de Sistemas
Banca: TJ-PR
Orgão: TJ-PR
Provas:

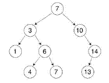
A figura abaixo representa que estrutura de dados?

enunciado 107436-1

 

Provas

Questão presente nas seguintes provas

Analista de Sistemas

80 Questões