Magna Concursos
1459599 Ano: 2016
Disciplina: Matemática
Banca: REIS & REIS
Orgão: Pref. Cascalho Rico-MG

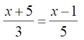
Calcule o valor de X na proporção:

enunciado 1459599-1

Questão Anulada

Provas

Questão presente nas seguintes provas