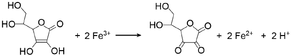
O elemento ferro é essencial em nossa alimentação, pois ajuda a prevenir doenças como a anemia. Normalmente, na alimentação é ingerido na forma de Fe3+, sendo necessário o uso de agentes auxiliares de absorção, como o ácido ascórbico (vitamina C), cuja ação pode ser representada pelo esquema reacional a seguir.

A ação do ácido ascórbico ocorre por meio de uma reação de
Provas
Questão presente nas seguintes provas