Magna Concursos
3267610 Ano: 2014
Disciplina: Matemática
Banca: FUNDEP
Orgão: IFN-MG
Provas:

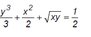
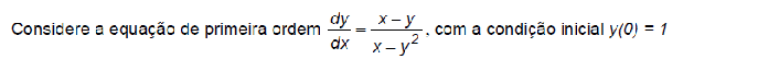
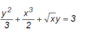
Enunciado 3650365-1

Podemos afirmar que a solução CORRETA do problema de valor inicial acima é:

 

Provas

Questão presente nas seguintes provas

Professor - Análise Real

40 Questões