- Circuitos ElétricosCircuitos CACircuitos Trifásicos
- Instalações ElétricasCorreção do Fator de Potência
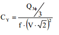
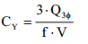
Considere que, para elevar o fator de potência de determinada instalação elétrica hospitalar, seja necessária a instalação de um banco de capacitores em ligação Y que forneça potência reativa total de Q3Φ.(var), conforme apresentado na figura abaixo. Para essa potência reativa total, qual das fórmulas abaixo fornece o valor da capacitância (CY), em farads, por fase, considerando que a tensão de linha da instalação é V (em volts − valor eficaz) e f (freqüência em hertz)?
