2384688
Ano: 2009
Disciplina: TI - Desenvolvimento de Sistemas
Banca: BIO-RIO
Orgão: PROCERGS
Disciplina: TI - Desenvolvimento de Sistemas
Banca: BIO-RIO
Orgão: PROCERGS
Provas:
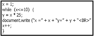
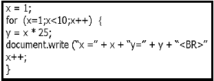
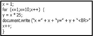
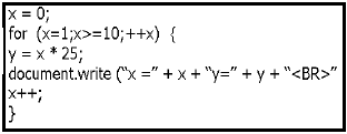
Observe o código abaixo em JavaScript.

A estrutura for equivalente que produz os mesmos resultados, apresenta a sintaxe indicada em: