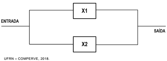
Redundância é a existência de mais de um meio de execução de uma determinada tarefa,
sendo que todos esses meios obrigatoriamente precisam falhar antes da quebra do sistema.
Analise um sistema simples com 2 (dois) componentes em paralelo conforme demonstrado na
figura abaixo. Considere X1 com confiabilidade r1 = 0,85 e X2 com confiabilidade r2 = 0,70.
A confiabilidade total, entendida como a probabilidade de não haver falha é:
A confiabilidade total, entendida como a probabilidade de não haver falha é:
Provas
Questão presente nas seguintes provas