Magna Concursos
1459557 Ano: 2016
Disciplina: Matemática
Banca: REIS & REIS
Orgão: Pref. Cascalho Rico-MG

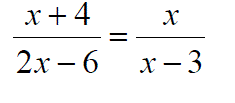
Determine a solução da equação abaixo:

enunciado 1459557-1

 

Provas

Questão presente nas seguintes provas