
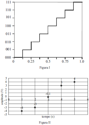
Considerando que a figura apresentada ilustra um segmento de sistema de comunicações VoIP, e que, nesse sistema, a voz é a fonte de informação, julgue o item seguinte.
Considerando-se que a figura I ilustra um quantizador normalizado de oito níveis e a figura II representa o sinal emitido pela fonte de informação após a amostragem, cujos valores estão dentro do intervalo [ - 5,5], é correto afirmar que o sinal digital na saída do conversor será igual a 000001011110111.

Provas
Questão presente nas seguintes provas