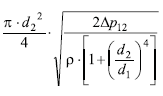
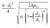
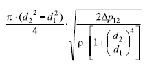
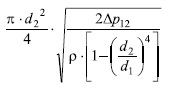
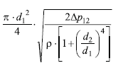
Um medidor de vazão do tipo Venturi é usado numa tubulação horizontal de onde escoa um líquido de densidade , tal como mostrado na figura. O manômetro M indica a diferença de pressão, !$ \Delta !$p12, entre as seções 1 e 2, de diâmetros d1 e d2, respectivamente. Com estes dados, qual é a expressão para determinação da vazão volumétrica usando este instrumento?
