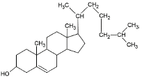
O colesterol, um lipídio encontrado nas membranas celulares das células animais, auxilia na fabricação da bílis e no metabolismo de vitaminas lipossolúveis (A, D, E e K). É também o principal precursor para a síntese de vitamina D e de vários hormônios esteroides. Observe a fórmula estrutural do colesterol: Em relação ao colesterol, analise as afirmativas a seguir.

I. Pode se apresentar sob diferentes formas enantioméricas.
II. É capaz de formar ligações de hidrogênio com a água.
III. Descora uma solução de bromo em tetracloreto de carbono.
IV. Absorve apenas um mol de H2, quando submetido à reação de hidrogenação catalítica.
Está correto o que se afirma em