ATENÇÃO!
• Para responder à questão, as funções reais de variável real consideradas são:

• Os domínios e os conjuntos imagem (ou conjunto de valores) destas funções são identificados por: Dom(f), Im(f), Dom(g) e Im(g) respectivamente.
• R representa o conjunto dos números reais.
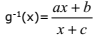
A função g : R – { p} →R – { q} é invertível.
Sua inversa g-1: R – { q} → R – { p} tem a forma
com a, b e c constantes. Nestas
condições a soma a + b + c é igual a