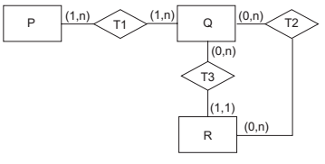
Os conjuntos a seguir representam um banco de dados relacional.
P ={p1 ,p2 ,p3 }
Q ={q1 ,q2 ,q3 }
R ={r1 ,r2 ,r3 ,r4 }
T1 ={(p1 ,q1 ),(p1 ,q2 ),(p1 ,q3 )}
T2 ={ }
T3 ={(q1 ,r1 ),(q2 ,r3 ),(q3 ,r4 )}
Qual modelo E-R define regras de cardinalidade compatíveis com esse banco de dados?