A reta y=x−2 é tangente a uma circunferência
com centro em P=(2,0).
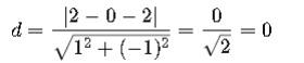
A distância do centro à reta é:
Mas isso é incompatível com uma reta tangente. A equação da reta deveria ser reescrita e avaliada com correção.
Como o item fornece a equação incorretamente tratada e resultado incorreto, a assertiva é inválida.
A distância do centro à reta é:
Mas isso é incompatível com uma reta tangente. A equação da reta deveria ser reescrita e avaliada com correção.
Como o item fornece a equação incorretamente tratada e resultado incorreto, a assertiva é inválida.