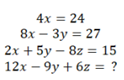
Resolver as operações abaixo na sequência e assinalar a
alternativa que corresponde ao resultado da última
operação.


Provas
Questão presente nas seguintes provas
Agente de Combate às Endemias
40 Questões
Auxiliar de Desenvolvimento Infantil
40 Questões
Auxiliar de Farmácia
40 Questões
Monitor Escolar - Educação Infantil
40 Questões
Monitor Escolar - Séries Iniciais
40 Questões
Oficial Administrativo
40 Questões
Técnico Agrícola
40 Questões
Técnico de Enfermagem
40 Questões
Tesoureiro
40 Questões