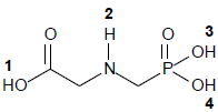
A persistência de um agrotóxico no meio ambiente está relacionada, entre outros fatores, ao seu pH. No caso do glifosato, que é o princípio ativo de um herbicida organofosforado, sua fórmula estrutural está mostrada abaixo, juntamente com uma numeração referente aos hidrogênios.

A ordem decrescente de acidez dos hidrogênios indicados na figura é: