Magna Concursos
Questões
Planos
Entrar
Entrar
Criar Conta
Respondida
1234162
Ano:
2013
Disciplina:
Química
Banca:
UFSC
Orgão:
UFSC
Provas:
Químico
Provas
×
Química Orgânica
Reações Orgânicas
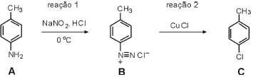
De acordo com as reações mostradas abaixo, podemos afirmar que:
A
as arilaminas primárias reagem com o ácido nitroso para formar os sais de diazônio, produto B, onde o eletrófilo é o HCl.
B
a reação 2 é conhecida como reação de Sandmeyer, em que se usa um sal de cobre(I) para substituir o nitrogênio em sais de diazônio.
C
o produto C poderia ser obtido facilmente em uma única etapa, partindo do reagente A, através de uma reação de substituição eletrofílica aromática do grupo amino pelo cloro.
D
na reação 1, o ácido nitroso é adicionado ao carbono sp² do sistema aromático, deslocando o grupo amino na forma de gás nitrogênio.
E
na cloração via substituição eletrofílica aromática do tolueno, seria obtido apenas o produto 1-cloro-3-metilbenzeno.
Resolver
Comentários
0
×
Cadernos
×
Flashcards
×
Estatísticas
×
Reportar um erro
×
Provas
Questão presente nas seguintes provas
Químico
40 Questões
Resolver Prova
Publicar
Responder
Qual o problema da questão?
Selecione uma opção
Questão Desatualizada
Questão Repetida
Gabarito Errado
Outros Motivos
Mensagem
Enviar
Acessar
Criar Conta
Acesse sua Conta
Google
Facebook
Esqueci minha senha
Acessar
Ainda não tem conta?
Crie uma
!
Crie uma Conta
Criar Conta
Olá, para continuar, precisamos criar uma conta!
É
rápido
e
grátis
.
Google
Facebook
Concordo com os
Termos de Uso
Criar
Já tem uma conta?
Acesse aqui