Magna Concursos
Questões
Planos
Entrar
Entrar
Criar Conta
Respondida
2102308
Ano:
2021
Disciplina:
Química
Banca:
AOCP
Orgão:
PC-PA
Provas:
Papiloscopista
Provas
×
Sistemas de Equilíbrio
Sistemas Homogêneos: Constantes: Kc e Kp. Deslocamento do Equilíbrio: Fatores
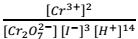
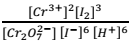
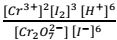
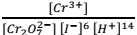
Considere a célula voltaica descrita pela reação entre dicromato de potássio e iodeto de sódio, em meio ácido, com formação de iodo sólido. Assinale a alternativa que apresenta corretamente a expressão do quociente da reação (Q) para esse processo.
A
B
C
D
E
Resolver
Comentários
0
×
Cadernos
×
Flashcards
×
Estatísticas
×
Reportar um erro
×
Provas
Questão presente nas seguintes provas
Papiloscopista
60 Questões
Resolver Prova
Publicar
Responder
Qual o problema da questão?
Selecione uma opção
Questão Desatualizada
Questão Repetida
Gabarito Errado
Outros Motivos
Mensagem
Enviar
Acessar
Criar Conta
Acesse sua Conta
Google
Facebook
Esqueci minha senha
Acessar
Ainda não tem conta?
Crie uma
!
Crie uma Conta
Criar Conta
Olá, para continuar, precisamos criar uma conta!
É
rápido
e
grátis
.
Google
Facebook
Concordo com os
Termos de Uso
Criar
Já tem uma conta?
Acesse aqui