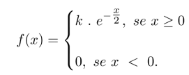
A função densidade de probabilidade (f.d.p.) é uma ferramenta essencial na teoria das probabilidades e estatística. Ela permite descrever probabilisticamente uma variável aleatória contínua, ou seja, como a probabilidade se distribui ao longo dos possíveis valores que a variável pode assumir. Nesse contexto, considere a função

em que \( k \) é um constante real.
Determine o valor k para que a função f(x) seja uma função densidade de probabilidade.