Magna Concursos
3465024 Ano: 2024
Disciplina: Matemática
Banca: Exata
Orgão: Pref. Alvorada Oeste-RO
Provas:

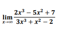
Calcule o limite da seguinte função quando x → ∞.

Enunciado 4022018-1

 

Provas

Questão presente nas seguintes provas

Professor - Matemática

40 Questões