Magna Concursos
405234 Ano: 2017
Disciplina: Matemática
Banca: IFB
Orgão: IFB

Determine:

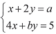
I) a e b de modo que o sistema Enunciado 405234-1 contenha infinitas soluções;

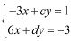
II) c e d de modo que o sistema Enunciado 405234-2 não tenha solução.

Questão Anulada

Provas

Questão presente nas seguintes provas

Professor PEBTT - Matemática

50 Questões