Magna Concursos
163994 Ano: 2018
Disciplina: TI - Desenvolvimento de Sistemas
Banca: IADES
Orgão: CFM
Provas:

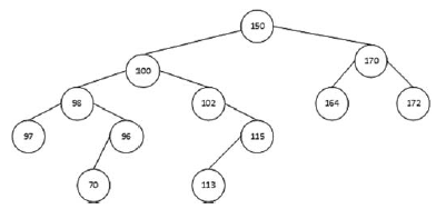
enunciado 163994-1

Considerando a árvore ilustrada na figura, assinale a alternativa correto.

 

Provas

Questão presente nas seguintes provas

Analista de TI

50 Questões