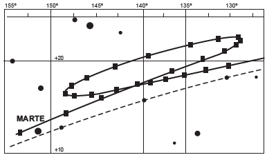
A característica que permite identificar um planeta no céu é o seu movimento relativo às estrelas fixas. Se observarmos a posição de um planeta por vários dias, verificaremos que sua posição em relação às estrelas fixas se modifica regularmente. A figura destaca o movimento de Marte observado em intervalos de 10 dias, registrado da Terra.

Projecto Física. Lisboa: Fundação Calouste Gulbenkian, 1980 (adaptado).
Qual a causa da forma da trajetória do planeta Marte registrada na figura?
Provas
Questão presente nas seguintes provas