Magna Concursos
3001310 Ano: 2023
Disciplina: Engenharia Elétrica
Banca: CESGRANRIO
Orgão: Transpetro

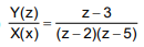
Um sistema Linear, Discreto, Invariante no Tempo e causal, que tem, como entrada, o sinal x(n) e, como saída, o sinal y(n), é representado pela equação de diferenças de segunda ordem mostrada a seguir.

y(n) - 3y(n-1) + 2y(n-2) = x(n) - 3x(n-1)

Considerando-se as condições iniciais nulas e aplicando-se as propriedades da Transformada Z, a Função de Transferência desse sistema, que relaciona Enunciado 3400436-1

 

Provas

Questão presente nas seguintes provas

Engenheiro de Telecomunicações

70 Questões