Magna Concursos
1751147 Ano: 2008
Disciplina: Matemática
Banca: CESPE / CEBRASPE
Orgão: Petrobrás
Provas:

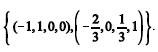
Uma base para o espaço-solução do sistema homogêneo de duas equações lineares a 4 incógnitas é Enunciado 1751147-1

 

Provas

Questão presente nas seguintes provas

Engenheiro de Petróleo

120 Questões